| Horaires sauf indication contraire / Timetables unless otherwise specified AIP France : UTC HIV ; HOR ETE : - 1HR / UTC WIN ; SKED SUM : - 1HR AIP CAR SAM NAM, AIP PAC-P, AIP PAC-N, AIP RUN: UTC |
| LFKB - BASTIA PORETTA |
| 1 | Position GEO ARP | 42°33'00"N 009°29'05"E | |
| Situation de l'ARP / ARP location | Intersection pistes et voie de circulation centrale | Centre TWY and RWY intersection | |
| 2 |
Direction, distance de la ville
Direction, distance from city | 16,5 km SSE de BASTIA | |
| 3 | Altitude de référence / Reference elevation | 26 ft | |
| Température de référence / Reference temperature | 28.4 ° C | ||
| 4 | Ondulation du géoïde / Geoid undulation | 160 ft | |
| 5 | Déclinaison magnétique / Magnetic variation | 3.4099°E | |
| Année (variation annuelle) / Year (annual change) | 2025 (0.112°) | ||
| 6 | Gestionnaire de l'AD / AD administration | CCI DE CORSE | |
| Adresse / Address |
Aérodrome de BASTIA Poretta
20290 BORGO | ||
| Telephone | (0)4 95 54 54 54 | ||
| FAX | (0)4 95 54 54 56 | ||
| TELEX | BIACIXH | ||
| AFS | LFKBYDYX | ||
| 7 | Type de trafic / Type of traffic | IFR, VFR | |
| 8 | Observations / Remarks | ATS HOR Bureau (0)4 95 59 19 09 | |
| 1 | Gestionnaire de l'AD / AD administration | ||
| 2 | Douanes et police / Customs and immigration |
Police H24
Douanes : du 01/04 au 30/09 H24 du 01/10 au 31/03 HJ (HN O/R avant 17 H) |
Police H24
Customs : from 01/04 to 30/09 H24 from 01/10 to 31/03 HJ (HN O/R before 17 H) |
| 3 | Services de santé / Health and sanitary | H24 | |
| 4 | BIA, BRIA / AIS briefing office |
BRIA de rattachement AJACCIO H24
TEL (0)4 95 22 61 85 |
Attaching BRIA : AJACCIO H24
TEL (0)4 95 22 61 85 |
| 5 | BDP / ARO | ||
| 6 | Bureau MET / MET briefing office | H24 | |
| 7 | ATS | H24 | |
| 8 | Avitaillement / Fueling |
100LL/JET A1 - 0600-1800. Hors heures de service O/R avant 1500 pour JET A1.
|
100LL/JET A1 - 0600-1800. Other times O/R before 1500 for JET A1.
|
| 9 | Services de manutention / Handling | SATAB (0)4 95 54 54 11 - AIR FRANCE (0)4 95 85 54 40. | |
| 10 | Sûreté / Safety | H24 | |
| 11 | Dégivrage / De-icing |
Pour vols commerciaux réguliers.
Selon accord préalable avec un prestataire d'assistance au sol. |
For scheduled commercial flights.
According to prior agreement with a ground handling agency. |
| 12 | Observations / Remarks | GRF (service d'évaluation et de report de l'état de surface de piste) : H24 | GRF (Global Reporting Format) : H24 |
| 1 |
Moyens de manutention de fret
Cargo handling facilities |
AIR FRANCE : (0)4 95 58 54 40
SATAB : (0)4 95 54 54 11 | |
| 2 |
Types de carburants et lubrifiants
Fuel and oil types |
Carburants / Fuel grades: 100LL-JET A1
Lubrifiants /Oil grades : NIL BP (0)4 95 54 54 74 | |
| 3 |
Moyens et capacités d'avitaillement
Fueling facilities and capacities |
100LL: cuve 50m3 EUROBOX
Libre service sans surveillance. |
100LL: tank 50m3 EUROBOX
Unmonitored self-service. |
| 4 | Moyens de dégivrage / De-icing facilities | Selon accord préalable avec un prestataire d'assistance au sol. | According to prior agreement with a ground handling agency. |
| 5 |
Hangar pour aéronefs de passage
Hangar space for visiting aircraft | NIL | |
| 6 |
Réparations pour aéronefs de passage
Repair facilities for visiting aircraft | CORSAVIA Unité d'entretien agréée (0)4 95 36 06 14 |
CORSAVIA Approved maintenance unit
(0)4 95 36 06 14 |
| 7 | Observations / Remarks |
Le service d'assistance aux usagers de l'aviation générale et de l'aviation d'affaires entre les postes de stationnement et l'aérogare est assuré par la société d'assistance en escale "SATAB" avec navette obligatoire.
L'assistance est obligatoire pour tous les aéronefs sur l'aviation générale et l'aviation d'affaires. PPR obligatoire PN 48HR pour tous les vols de l'aviation générale et d'affaires par e-mail : ppr@satab.aero |
Handling for general and business aviation between PRKG stands and the terminal is provided by the handling agent "SATAB" with compulsory shuttle.
Handling is mandatory for all aircraft in general aviation and business aviation. Mandatory PPR with PN 48HR for all general aviation and business flights by e-mail : ppr@satab.aero |
| 1 | Hôtels | 5 hôtels - 150 chambres | 5 hotels - 150 rooms |
| 2 | Restaurants | Saisonnier | Seasonal |
| 3 | Moyens de transport / Transportation facilities | Autocars, taxis, voitures de louage sans chauffeur (hors des mouvements des lignes régulières). | Buses, taxis, car rental (outside scheduled movements) |
| 4 | Services médicaux / Medical facilities |
Hôpitaux, SAMU et cliniques de BASTIA.
Ambulances sur AD à la disposition des compagnies. Ensemble d'oxygénothérapie 2 litres. |
Public / private hospitals, SAMU in BASTIA.
Ambulances at airport for airlines uses. Oxygenotherapy group (2 litres). |
| 5 |
Services bancaires et postaux
Bank and Post Office | Distributeur de billets et boîte aux lettres | Cashpoint and mail box |
| 6 | Office de tourisme / Tourist office | LUCCIANA - BASTIA | |
| 7 | Observations / Remarks | Assistance aux PMR, TEL : (0)4 95 54 54 54. | Assistance to PRM, TEL : (0)4 95 54 54 54. |
| 1 |
Niveau RFFS de l'AD
AD level for fire fighting | 9 | |
| 2 | Moyens de sauvetage / Rescue equipment |
Niveau 7: H24
Niveau 9 : vols programmés |
Level 7: H24
Level 9: scheduled flights |
| 3 |
Moyens d'enlèvement des aéronefs accidentés
Capability for removal of disabled aircraft |
Contacter le PCES par TEL : 04 95 54 54 65 ou par E-mail : exploitation.bia@bastia.aeroport.fr
L'exploitant fait intervenir une société de levage en fonction des disponibilités. |
Contact operations and safety HQ by TEL : 04 95 54 54 65 or by E-mail : exploitation.bia@bastia.aeroport.fr
The operator involves a lifting company depending on availability. |
| 4 | Observations / Remarks | NIL | NIL |
| 1 | Type d'équipements / Type of clearing equipment | NIL | |
| 2 | Priorités de dégagement / Clearance priority | ||
| 3 | Matériaux utilisés pour le traitement de la surface de l'aire de mouvement / Material used for movement area surface treatment | ||
| 4 | Pistes spécialement préparées en condition hivernale / Specially prepared winter runways | Non applicable | Not applicable |
| 5 | Observations / Remarks |
Evaluation et report de l'état de surface des pistes
conformément à la méthode "Global Reporting Format" (GRF) décrite en AD 1.2.2 Les horaires GRF sont publiés en AD 2.3 |
Assessment and reporting of runway surface condition
in accordance with the Global Reporting Format (GRF) described in AD 1.2.2 GRF operational hours are published in AD 2.3 |
| 1 | Revêtement de l'aire de trafic / Apron surface | Béton bitumineux | Asphaltic concrete |
| Résistance de l'aire de trafic / Apron strength | A1 et A2 : 80 R/B/W/T | A1 and A2 : 80 R/B/W/T | |
| 2 | Largeur TWY / TWY width |
A : 24 m
C: 12.2 m D: 15.5 m E : 26 m G : 26 m M : 21.5 m N1 : 15 m | |
| Revêtement des TWY / TWY surface | Béton bitumineux | Asphaltic concrete | |
| Résistance des TWY / TWY strength |
TWY C : 30 F/B/W/T
TWY D : 29 F/B/W/T TWY M : 68 F/B/W/T TWY E : 60 F/B/W/T TWY G : 50 F/B/W/T | ||
| 3 | Emplacement des ACL / ACL location | 42°33'48.85"N 009°28'44.96"E - 42°32'30.60"N 009°29'17.78"E | |
| Altitude des ACL / ACL elevation | 13 ft - 26 ft | ||
| 4 | Points de vérification VOR / VOR checkpoints | ||
| 5 | Points de vérification INS / INS checkpoints |
A1-C
42°32'39.00"N
009°28'59.33"E
A1-E 42°32'41.22"N 009°28'59.34"E A2 42°32'40.89"N 009°28'58.56"E A3-C 42°32'43.01"N 009°28'58.48"E |
A3-E
42°32'44.39"N
009°28'58.16"E
A4 42°32'44.81"N 009°28'57.18"E A5 42°32'46.62"N 009°28'56.57"E S1 42°32'35.23"N 009°29'02.00"E |
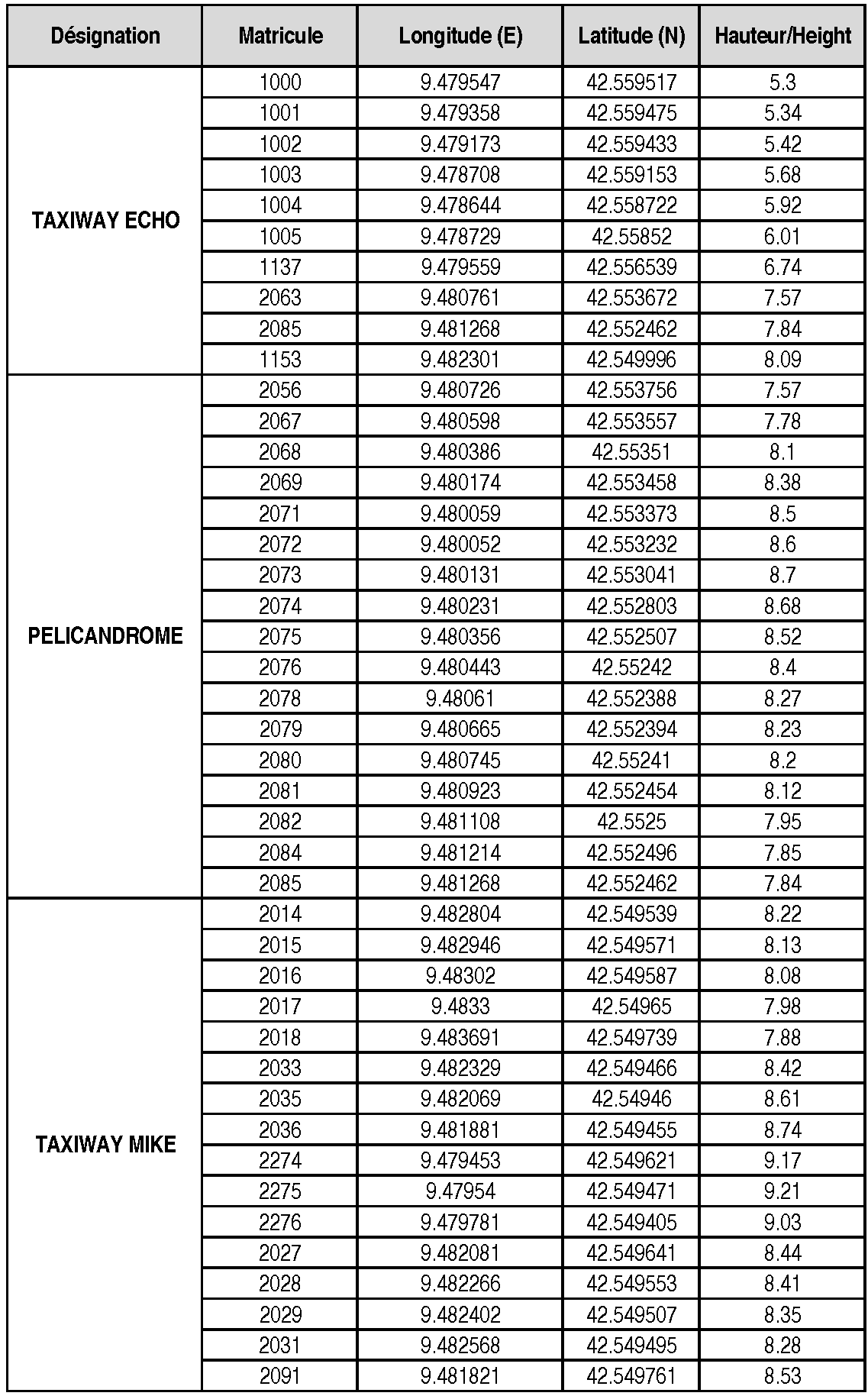
| 6 | Observations / Remarks |
Altitude moyenne des PRKG: 27 ft/ Mean PRKG altitude: 27 ft.
PRKG A : 83 000m2, PRKG B : 10 000m2, PRKG C : 6 000m2, PRKG D : 5 000m2. | |
| 1 |
ID postes de stationnement
Aircraft stands ID signs | Voir/see AD 2 LFKB APDC 01 | |
| Lignes de guidage TWY / TWY guide lines | Balisage diurne | Day marking | |
|
Systèmes de guidage pour l'accostage des aéronefs
Visual docking/parking guidance system | NIL | ||
| 2 | Marquage RWY et TWY / RWY and TWY marking | ||
| Balisage RWY et TWY / RWY and TWY lighting | Voir/see AD 2 LFKB .14/15 | ||
| 3 | Barres d'arrêt / Stop bars | NIL | |
| 4 | Observations / Remarks | ||
| Voir carte d'aérodrome OACI et cartes d'obstacles. | See aerodrome ICAO chart and obstacle charts. | ||||
|
Pour les aérodromes listés en annexe I de
|
For aerodromes listed in Annex I of
|
| 1 | Centre MET associé / Associated MET Office | CRA-BASTIA | |
| 2 | Horaires de service / Hours of service | voir/see AD 2 LFKB .3 | |
| Centre MET hors HOR / MET Office outside HOR | |||
| 3 |
Centre MET responsable des TAF
Office in charge of TAF | CRA-BASTIA | |
| Période de validité / Validity period |
24
03-09-15-21 | ||
| 4 |
Type de prévision d'atterrissage
Type of landing forecast | TREND | |
| Périodicité / Interval of issuance | H24 | ||
| 5 | Briefing, consultation | P-T-D | |
| 6 | Documentation de vol / Flight documentation | C-PL | |
| Langue utilisée / Language used | FR | ||
| 7 |
Cartes, autres informations
Charts, other information |
S-U-P-W
AD WARNING METAR AUTO | |
| 8 |
Equipement complémentaire
Supplementary equipment |
VISU
AEROWEB PRO | |
| 9 | Organismes ATS desservis / ATS units served | TWR | |
| 10 |
Informations complémentaires
Additional information | TEL MET (IFR) : 04 95 30 09 44 | |
| RWY NR |
True and Mag
Bearing |
Dimensions of
RWY (M) |
Strength (PCN) and
surface of RWY and SWY |
Position GEO THR
(DTHR) GUND |
THR elevation and highest
elevation of TDZ of precision RWY |
|---|---|---|---|---|---|
| 1 | 2 | 3 | 4 | 5 | 6 |
| 16 | 163 (160) | 2520 x 45 |
68 F/B/W/T
béton bitumineux / bituminous concrete |
42°33'48.85"N
009°28'44.96"E
------ GUND NIL |
THR :
13ft
|
| 34 | 343 (340) | 2520 x 45 |
68 F/B/W/T
béton bitumineux / bituminous concrete |
42°32'30.60"N
009°29'17.78"E
------ GUND NIL |
THR :
26ft
|
| RWY NR |
RWY/SWY
Slope |
SWY
Dimensions (M) |
CWY
Dimensions (M) | Strip Dimensions (M) | Obstacle free zone (OFZ) | Remarks |
|---|---|---|---|---|---|---|
| 7 | 8 | 9 | 10 | 11 | 12 | |
| 16 | NIL | NIL | 100 | NIL | NIL | NIL |
| 34 | NIL | NIL | 390 | NIL | NIL | NIL |
| RWY ID | TORA | TODA | ASDA | LDA | Observations Remarks |
|---|---|---|---|---|---|
| 16 | 2520 | 2620 | 2520 | 2520 |
RESA (aire de sécurité d'extrémité de piste) 90 x 90 m, à 60 m de l'extrémité de piste.
RESA (Runway End Safety Area) 90 x 90, 60 m from the runway entry. |
| TWY E | 2095 | 2195 | 2095 | ||
| TWY M | 953 | 1053 | 953 | ||
| 34 | 2520 | 2910 | 2520 | 2520 |
RESA (aire de sécurité d'extrémité de piste) 90 X 90 m, à 60 m de l'extrémité de piste.
RESA (Runway End Safety Area) 90 X 90 m, 60 m from the runway entry. |
| TWY M | 1588 | 1978 | 1588 |
| RWY ID | APCH |
THR
couleur colour | PAPI/VASIS | MEHT |
TDZ
Longueur Length | Balisage axial Centerline LGT | |||
|---|---|---|---|---|---|---|---|---|---|
|
Longueur
Length |
Espacement
Spacing |
Couleur
Colour |
Intensité
Intensity | ||||||
| 16 | G | PAPI 3.0 ° 5.2 % | 67 ft | ||||||
| 34 | G | PAPI 3.0 ° 5.2 % | 59 ft | ||||||
| RWY ID | Balisage latéral Edge lighting | Extrémité RWY end | SWY | |||||
|---|---|---|---|---|---|---|---|---|
|
Longueur
Length |
Espacement
Spacing |
Couleur
Colour |
Intensité
Intensity |
Couleur
Colour |
Longueur
Length |
Couleur
Colour | ||
| 16 |
1920
600 | 60 |
W
Y |
LIH - LIL
LIH | R | (1) | ||
| 34 |
1920
600 | 60 |
W
Y |
LIH - LIL
LIH | R | (2) | ||
|
(1)
PAPI RWY 16 : Franchissement obstacles non assuré par PAPI à l'extérieur du volume VPT. / Clearing of obstacles not ensured by PAPI outside the VPT volume.
Décalage à l'Est des feux par rapport à l'axe de piste 5°. / The lights are offset 5° to the East of the RWY axis. Feux à éclats RWY 16. / Flashing lights RWY 16. Absence de rampe d'approche. / No approach lighting systems. | ||||||||
|
(2)
PAPI RWY 34 : obligatoire de jour et de nuit / mandatory on day and night.
Feux à éclats RWY 34 / Flashing lights RWY 34. Absence de rampe d'approche / No approach lighting systems. | ||||||||
| 1 | ABN | ||
| IBN | |||
| 2 | Té d'atterrissage / LDI | ||
| Anémomètre / Anemometer | |||
| 3 | Balisage axial TWY / TWY centre line lighting | ||
| Balisage latéral TWY / TWY edge lighting | A, B, D, E, G, M | ||
| 4 | Alimentation de secours / Secondary power unit | Oui | Yes |
| Temps de commutation / Switch-over time | Immédiat | Immediate | |
| 5 | Observations / Remarks | Raquette nord: 6 feux BPE LIL, feux à éclats RWY 16 et RWY 34 avec 3 brillances 3%, 10%, 100% type FAE1, PRKG et TWY: feux B. | North turn-around area: 6 LIL BPE lights, flashing lights RWY 16 and RWY 34 with 3 different brightness 3%, 10%, 100% type FAE1, PRKG and TWY: B lights. |
| 1 | Description | FATO à usage exclusif Sécurité Civile - Utilisable H24 | FATO for Civil Security only - Usable H24 |
|
Identification et limites latérales
Identification and lateral limits |
Classe
Class |
Limites verticales
Vertical limits |
Service /
Service
Indicatif d'appel (langue) Call-sign (language) |
Observations
Remarks |
|---|---|---|---|---|
| CTR BASTIA | ||||
| 42°41'11"N , 009°24'00"E - arc horaire de 9 NM de rayon centré sur 42°33'00"N , 009°29'05"E - 42°24'49"N , 009°24'00"E - 42°41'11"N , 009°24'00"E | D |
1500ft AMSL 1000ft ASFC ------------ SFC |
APP
BASTIA Approche (FR) BASTIA Approach (EN) TWR BASTIA Tour (FR) BASTIA Tower (EN) |
H24
|
| Service |
Indicatif d'appel (langue)
Call-sign (language) | FREQ | HOR |
Observations
Remarks |
|---|---|---|---|---|
| FIS |
BASTIA Information (FR)
BASTIA Information (EN) | 124.725 MHz | H24 | Nord/North. RAIZ 124.725 MHz en cas de fermeture du FIS/when FIS closed |
| FIS |
BASTIA Information (FR)
BASTIA Information (EN) | 135.135 MHz | H24 | Sud/South. RAIZ 124.725 MHz en cas de fermeture du FIS/when FIS closed |
| APP |
BASTIA Approche (FR)
BASTIA Approach (EN) | 123.825 MHz | H24 |
jusqu'au FL200/up to FL200.
Secteur/Sector KB. |
| APP |
BASTIA Approche (FR)
BASTIA Approach (EN) | 127.255 MHz | H24 |
Fréquence supplétive/Auxiliary frequency.
Jusqu'au FL200/Up to FL200.
Secteur/Sector KC. |
| TWR |
BASTIA Sol (FR)
BASTIA Ground (EN) | 121.830 MHz | H24 | |
| TWR |
BASTIA Tour (FR)
BASTIA Tower (EN) | 118.000 MHz | H24 | |
| VDF |
BASTIA Gonio (FR)
BASTIA Homer (EN) | 118.000 MHz | H24 | |
| VDF |
BASTIA Gonio (FR)
BASTIA Homer (EN) | 123.825 MHz | H24 | |
| ATIS |
BASTIA (FR)
BASTIA (EN) | 125.930 MHz | H24 |
| Type (CAT ILS) | ID | FREQ | HOR | Position GEO | ALT |
Portée
Coverage |
RDH (pente)
(slope) |
Situation
Location | ||
|---|---|---|---|---|---|---|---|---|---|---|
| VOR-DME | BTA |
114.15
MHz
CH 88Y | H24 | 42°34'24.9"N 009°28'29.4"E | 36 ft | 80NM FL500 | 340º/1170m THR 16 | (1) | ||
| LOC 34 (I.E.1) | BAS | 111.35 MHz | H24 | 42°34'05.4"N 009°28'38.0"E | 11 ft | 340°/560m THR 16 | (1) | |||
| GP 34 | 332.15 MHz | H24 | 42°32'41.6"N 009°29'18.9"E | 20 ft |
15.5 m/51 ft
( 3 °) | 002°/330m THR 34 | ||||
| DME 34 |
CH 50Y | H24 | 42°32'41.5"N 009°29'18.9"E | 69 ft | 25NM FL250 | |||||
| (1) Couverture limitée à 8º à gauche de l'axe. | ||||||||||
| (1) Fluctuation occasionnelle du signal VOR dans les secteurs Sud, Sud-Ouest, Ouest et Nord-Ouest du moyen. / Occasional fluctuation of the VOR signal in the southern, south-western, western and north-western sectors of the navaid. | ||||||||||
| 20.1 | ORGANISMES CHARGES DU CONTROLE DE LA CIRCULATION AERIENNE | 20.1 | AUTHORITY RESPONSIBLE FOR AIR TRAFFIC CONTROL | ||
| BASTIA APP assure la fourniture des services de la circulation aérienne de la CTA BASTIA et de la TMA BASTIA (cf. ENR 2.1). | BASTIA APP provides air traffic services in BASTIA CTA and BASTIA TMA (ref. ENR 2.1). | ||||
| 20.2 | CALAGE ALTIMETRIQUE | 20.2 | ALTIMETER SETTING | ||
| L’altitude de transition pour les TMA 1, 2, 3, 4 et 7 est de 6200 ft. | The transition altitude within TMA parts 1, 2, 3, 4 and 7 is 6200 ft. | ||||
| L’altitude de transition pour la TMA 5 est de 5000 ft. | The transition altitude within TMA 5 is 5000 ft. | ||||
| Les niveaux de transition sont calculés par BASTIA Approche. | Transition levels are calculated by BASTIA APP. | ||||
| 20.3 | OBSERVATIONS | 20.3 | REMARKS | ||
| TWY M limité aux ACFT de code C. | TWY M limited to C code ACFT. | ||||
| TWY C limité aux ACFT de code B et interdit la nuit. | TWY C limited to B code ACFT and prohibited at night. | ||||
| 20.4 | PROCEDURES DE SURVEILLANCE AIR | 20.4 | AIR SURVEILLANCE PROCEDURES | ||
| BASTIA utilise les fonctions de surveillance, d'assistance et guidage sur l'image de surveillance Air pour rendre les services de contrôle, d'information et d'alerte. | BASTIA uses monitoring, assistance and guiding functions on its airsurveillance image for providing alert, information and control services. | ||||
| 22.1 | PROCEDURES | 22.1 | PROCEDURES | |
| 22.1.1 | Décollages par faible visibilité | 22.1.1 | Low visibility TKOF | |
| Décollages interdits lorsque RVR<550 m. | Takeoffs are prohibited if RVR<550 m. | |||
| 22.1.2 | Itinéraires IFR à l’intérieur de la TMA | 22.1.2 | FR routes within the TMA | |
| Voir cartes. | See charts. | |||
| 22.1.3 | Procédures RNAV | 22.1.3 | RNAV procedures | |
| Les départs RNAV sont préférentiels et seront déclarés en service par les services de contrôle. En l’absence de la capacité ‘’RNAV’’ requise, le pilote doit s’annoncer ‘’Non RNAV’’ à la demande de mise en route. | RNAV departures are preferred and will be declared in service by ATC services. In the absence of the required "RNAV" capability the pilot must announce his flight as "Non-RNAV" at engine startup request. | |||
| Pour les non-RNAV au départ en sortie BREMO : écrire DCT BREMO en case 15 du FPL. | For non-RNAV ACFT departing towards exit BREMO : write DCT BREMO in item 15 of FPL. | |||
| Vols VFR RWY 34 circuit à droite. | VFR flights RWY 34 : right hand pattern. | |||
| 22.1.4 | Service radar | 22.1.4 | Radar service | |
| BASTIA APP utilise les fonctions surveillance radar, assistance radar et guidage radar pour rendre les services de contrôle, d’information de vol et d’alerte. | BASTIA APP use radar services and vectoring to provide the air traffic control, flight information and alert. | |||
| 22.1.5 | Transfert de communication | 22.1.5 | Communication transfer | |
| 22.1.5.1 | Les aéronefs en IFR traversant la zone de délégation de BASTIA (cf. AD 2 LFKB.20 § 1.2) seront transférés en communication à BASTIA APP. | 22.1.5.1 | ACFT in IFR crossing BASTIA APP area (cf AD 2 LFKB.20 § 1.2) will be transfered to BASTIA APP. | |
| 22.1.5.2 | Les changements de fréquence ont lieu sur instruction de l’organisme responsable du contrôle de l’aéronef, au plus tard une minute après l’instruction de changement de fréquence. | 22.1.5.2 | Frequency changes take place when instructed by the authority responsible for air traffic control, one minute at the latest after the instruction to change frequency. | |
| 22.2 | PANNE DE COMMUNICATION | 22.2 | RADIOCOMMUNICATION FAILURE | |
| Voir cartes. | See charts. | |||
| 22.3 | ADS-B | 22.3 | ADS-B | |
| Couverture ADS-B basse altitude dans la partie Sud de la TMA Bastia et du SIV Bastia (Côte Est de la Corse) où la détection radar est difficile. Pour les aéronefs équipés, l'utilisation de l'ADS-B pour les services d'information de vol et d'alerte permet l'amélioration de la surveillance dans les basses couches ou lors de l'arrêt d'un des radars couvrant la TMA Bastia, la détection de toute erreur de route, de niveau, de coordination, et un suivi des trajectoires dans le cadre du service d'alerte. Les séparations des aéronefs restent basées sur le contrôle radar ou le contrôle aux procédures. Les exploitants d'aéronefs désirant pénétrer dans cet espace ne sont soumis à aucune exigence spécifique à cet espace vis-à-vis de l'ADS-B. L'organisme ATS de Bastia PORETTA est susceptible de demander aux usagers équipés, des compte-rendus de position spécifiques, des indications de distance à des points stratégiques de l'espace aérien, l'utilisation des diverses fonctionnalités de l'émetteur ADS-B (Ident, codes d'urgence, modification d'identifiant). | Low altitude ADS-B coverage in the South of TMA Bastia and SIV Bastia (East coast of Corsica) where radar detection is difficult. For equipped ACFT, the use of ADS-B for flight information and alert services upgrades the surveillance in the lower layers or when one of the radars covering TMA Bastia stops, the detection of route, level, coordination mistakes, and a trajectory follow-up as part of the alert service. ACFT separations are still based on radar control or procedural control. ACFT operators wishing to enter this airspace aren't subjected to any specific requirement concerning this airspace and ADS-B. Bastia PORETTA ATS unit may ask equipped users for specific position reports, distance indications at strategic points of the airspace, the use of various functions of ADS-B (Ident, emergency codes, ID modification). |
| 23.1 | EQUIPEMENT AD | 23.1 | AD EQUIPMENT | |
| Equipement de surveillance du trafic : AD équipé d'un radar secondaire (voir AD 1.0). | Traffic surveillance equipment : AD equipped with secondary surveillance radar (see AD 1.0). | |||
| 23.2 | PERIL ANIMALIER | 23.2 | WILDLIFE STRIKE HAZARD | |
| Occasionnel. | Random. | |||
| Présence d'oiseaux de type de "Milans Royaux" d'un poids moyen de 1,1 kg pour une période allant du printemps et jusqu'à début juillet. | Red kite birds presence from spring to early July, average weight 1.1 kg. | |||



| Pour la version PDF, les cartes figurent à la suite de la rubrique AD 2.25. | For the PDF version, charts to be found after item AD 2.25. |
| Liste des procédures avec VSS percée et minimums opérationnels concernés. | List of procedures for which the Visual Segment Surface is penetrated and concerned lines of operational minima. | |||
| IDENTIFICATION DE LA PROCÉDURE | MINIMUMS OPÉRATIONNELS CONCERNÉS | |
| PROCEDURE IDENTIFICATION | LINE OF OPERATIONAL MINIMA | |
| Toutes procédures / all procedures | Sans objet / not applicable |